반응형
안녕하세요 부동산 요약하는 남자 부요남입니다.
금일은 빠르게 평촌 트리지아 당첨전략 말씀드리겠습니다.
빠르게따라오세요!

1. 신청날짜
- 7/5 특별공급
- 7/6 1순위 공급(당해)
- 7/7 1순위 공급(기타)
운좋으면 1순위 기타까지 오고 1순위 당해에서 이 곳은 끊길것 같습니다.
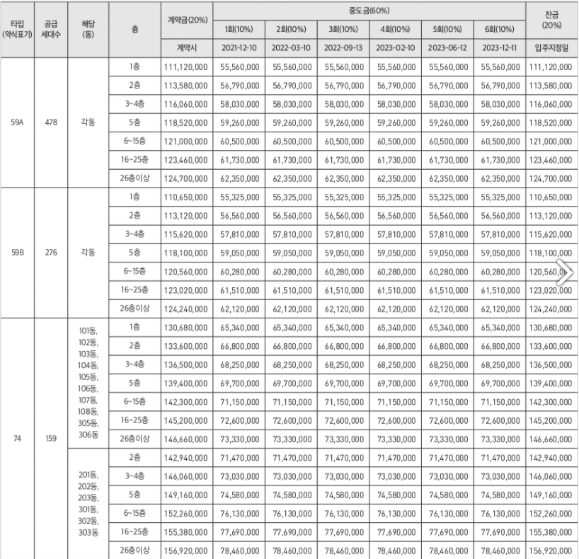
2. 평형
- 평형은 59A, 59B 그리고 74형이 있습니다.

3. 평면도



보시면 제가 누차 말씀드렸던것 처럼 이 세 타입중에서 실거주가 목적이신 분들은 경쟁률이 낮은 59b(타워형) 을 선택하셔서 당첨 확률을 높이시기 바랍니다.
정리하면
1. 지원날짜
2. 평형선택(실거주 목적 시, 59B 강권)
인덕원역 gtx 호재로 많이 뜨고 있습니다.
안전마진도 2억정도 보입니다.
실거주 목적이신 분들은 유심히 지켜보시고 지원하시기 바랍니다
반응형
'부동산' 카테고리의 다른 글
| [오피스텔청약]동탄2신도시 대방엘리움 레이크파크(feat.동탄2 호수 뷰) (0) | 2021.06.30 |
|---|---|
| [주택청약] 광명 2R 재개발 베르몬트로 대단지 당첨전략(feat. 60점대 초반 가즈아) (0) | 2021.06.28 |
| [주택청약] 강남 래미안 원베일리 1순위 경쟁률 및 가점 컷(feat.원펜타스 준비) (0) | 2021.06.25 |
| [오피스텔선착순] 동탄2신도시 동탄역 디에트르 오피스텔 선착순 안내(feat. 남들과는 다른 클릭 속도) (0) | 2021.06.24 |
| [청약전 유의사항] 강남대장 래미안 원펜타스. 청약 전 checklist 2. (feat.부적격 상위 순위) (0) | 2021.06.22 |